如何理解高增益和高速度是矛盾的?(图文教程)经常听说要想获得较高的增益,则速度肯定替补上去,要想得到高速度,则增益一定不会很高,为什么呢?如何理解呢?
工具/原料
PC
电路图
操作方法
1
2
3
4
5
6
我们以简单的CS放大器为例,来说明高增益和高速度之间的一对矛盾
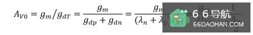
2先来考虑低频增益AV0
3我们以NMOS和pmos都处于强反型饱和区为例,则gm的表达式如下
4强反型饱和区的电流IDS为下式子
5所以就很容易推导出在强反型饱和的低频增益AV0
6要是AV0增大的话,则需过驱动电压减小,则IDS就会减小,这个静态电流减小的话,则给负载电容CL充放电的动态电流也不会很大,这样充放电时间就会很长,所以速度很慢,这就是高增益和高速度的矛盾所在。








