如何理解高增益和高速度是矛盾的?(图文教程)经常听说要想获得较高的增益,则速度肯定替补上去,要想得到高速度,则增益一定不会很高,为什么呢?如何理解呢?这里从时域分析中理解
工具/原料
PC
电路图
操作方法
1
2
3
4
5
6
7
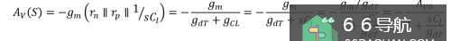
我们以简单的CS放大器为例,来说明高增益和高速度之间的一对矛盾
2该电路的增益为下述表达式
3现在我们假定输入信号为单位阶跃信号u(t)
4输入信号的拉氏变换为
5所以输出信号的拉式变换为
6输出信号的时域响应为
7要想时域响应的速度快,则希望P1越大越好,但是P1越大的话,则要求输出的电阻越小越好,但是这样的话,增益就会降低,这就是高增益和高速度的矛盾所在。









